The second post in a new series aiming to surface features at DNA Painter that you might not be aware of.
An ancestral tree at DNA Painter is a single-page summary of your direct ancestors. Within this shareable page you can search across names, locations and professions; view how complete your tree is at different grandparent levels; and display the chart in several different formats.

One of the many features of ancestral trees is the ability to apply basic DNA filters so that you can see which ancestors you might have inherited X-DNA from, as well as your Y-DNA (if you’re male) and mitochondrial inheritance paths.

Genetic ancestors
There’s another DNA filter that you might have missed. ‘Show genetic ancestors’ will highlight people you’ve marked as being genetic ancestors. In simple terms, a genetic ancestor is one where you have evidence not only that they are your ancestor, but also that you have confirmed that you inherited DNA from them.
Everyone has two trees
As Blaine Bettinger noted in his classic blog post from 2009, everyone has two family trees: a genealogical tree and a genetic tree.
Our ancestors remain our ancestors, but because of how recombination works, you won’t have inherited DNA from every ancestor in your genealogical tree. This feels slightly shocking at first, doesn’t it? But when you think about it, it makes sense:
- When you were born, you inherited 50% of your DNA from your mother and 50% from your father
- Within that 50% you didn’t inherit from each parent, there will have been the last vestiges of DNA from certain distant ancestors, who are therefore not represented in your DNA
Or as Kevin Borland explained it once:
“I like to think of DNA segments as tracks on a CD. The chromosomes, like a CD, have limited real estate. When you pass your genetic CD to your children, you can only pass down half the tracks. The ancestors that correspond to the other tracks on your CD will not be genetically related to your child.”
In practical terms, this means that once you get to 5th-great-grandparent level (or occasionally 4th-great-grandparent level), some ancestors will start to drop out of your genetic family tree.
What makes an ancestor a genetic ancestor?
There are a few different approaches. The examples below explain mine, but obviously you can use this feature in whichever way makes the most sense to you!
A simple example
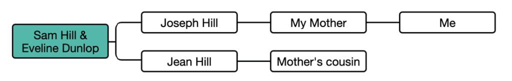
- I persuaded my mother’s paternal first cousin to take a test for me
- He’s the son of my mother’s father’s sister Jean as shown below.

- We share 667cM of DNA, and I’m not aware of any other connection aside from him being my mother’s cousin
- This then verifies for me that I inherited DNA from our common ancestors, Sam Hill and Eveline Dunlop
In this case, the relationship is so close that I’m certain that these 667cM include DNA from both Sam Hill and Eveline Dunlop. I’ll now go ahead and mark both of them as genetic ancestors in my ancestral tree at DNA Painter (more on this below).
Third cousin example
- I match a third cousin on my father’s mother’s side
- Our common ancestors are my great-great-grandparents Charles Richard Jones and Mary Moore

- We share 58cM of DNA
- It’s possible that this entire 58cM came just from Charles R Jones or just from Mary Moore
- In this case I will therefore mark their son (my great-grandfather John) as a genetic ancestor and await further evidence of specific further-back Jones or Moore DNA
More distant connections
For more distant relationships, the situation is more nuanced. On my father’s side I’m blessed with a rare name, Heighington. I found a 7C1R who shares a single segment of DNA with me.

If I followed the same process as above, I would just go ahead and mark my 5th-great grandfather Valentine Heighington as a genetic ancestor. Should I do that?
The case in favour
- I share DNA with this cousin, and this is the only connection to him that I know about
- If this little piece of DNA has really passed down 8 generations to reach me and 9 to reach my cousin, that’s pretty cool
- Based on the information in my chromosome map, I did indeed inherit DNA in this position from my grandmother, so I only have another 6 generations to prove!
The case against
- I have 512 7th-great-grandparents, only 20 of whom I’ve identified, so how would I ever really know that this DNA came from the Heighington line?
- These 7th-great-grandparents will between them have an almost unimaginable number of descendants, and so I may well be related to this match in other ways
- The segment is only 8cM so may or may not be a genuine genetic match
As I mentioned above, it’s really a personal decision, and you can change your mind later on if you need to.
Marking a genetic ancestor in your DNA Painter ancestral tree
Once you’ve decided what to do, marking someone as a genetic ancestor is very simple.
Within the main tree view
Hover over any ancestor and you’ll see a menu. Within that menu, click ‘Mark as a genetic ancestor’

Within the edit form
You can edit any ancestor by hovering and clicking ‘Edit’. Within the edit form, you’ll see a checkbox ‘mark as a genetic ancestor’

Intermediate ancestors will also be marked
If you mark a great-great-grandparent (for example) as a genetic ancestor, the site will automatically also mark the ancestors between you and this person as genetic ancestors, since this would have to be the case in order for the DNA to have reached you.
Viewing genetic ancestors
Once you’ve marked genetic ancestors in your tree, you’ll see them displayed as follows when you choose ‘Show genetic ancestors’ under DNA Filters:
- In tree view, this will add a DNA icon next to everyone you’ve marked as a genetic ancestor.

- In fan view, this will show your chart filtered so that genetic ancestors will be highlighted and any ancestors not marked this way will appear only faintly

In summary, marking genetic ancestors in your tree is a straightforward way of keeping track of how the genetic evidence from your DNA test stacks up alongside your known genealogy.
If you find this interesting and/or useful, please tell a friend!
Further reading
- Graham Coop: How many genetic ancestors do I have?
- Blaine Bettinger: Q&A: Everyone Has Two Family Trees – A Genealogical Tree and a Genetic Tree
- [Webinar – familytreewebinars subscription needed]: Blaine Bettinger: Reconstructing Your Genetic Family Tree
Contact info: @dnapainter.bsky.social / jonny@dnapainter.com